Skip to content Skip to sidebar Skip to footer

Widget HTML #1

Contoh Soal Integral Parsial Brainly : Contoh Soal Integral Parsial Brainly Kumpulan Soal Pelajaran 5 : Integral x akar 4x 1 dx brainly co id contoh soal integral parsial belajar sastra dan seni tutorial menghitung integral tak tentu 2 bentuk pecahan matematika sma contoh soal integral parsial belajar sastra dan seni nilai dari integral batas atas pi 3 1 pon.

Contoh Soal Integral Parsial Brainly : Contoh Soal Integral Parsial Brainly Kumpulan Soal Pelajaran 5 : Integral x akar 4x 1 dx brainly co id contoh soal integral parsial belajar sastra dan seni tutorial menghitung integral tak tentu 2 bentuk pecahan matematika sma contoh soal integral parsial belajar sastra dan seni nilai dari integral batas atas pi 3 1 pon.. Kemudian dikalikan dengan turunan yang di dalam kurung. Tidak ada komentar untuk soal dan pembahasan integral substitusi trigonometri posting komentar. Untuk menambah pemahaman sobat, coba simaklah contoh soal berikut ini; Contoh soal integral parsial brainly. Sehingga kita akan peroleh sebagai berikut:

Berilut ini adalah contoh soal dari intgral parsial dan integral substitusi: Hasil dari integral 20x x 5 dx brainly co id. Contoh soal dan jawaban integral tertentu brainly co id integral tentu fungsi aljabar dan trigonometri integral matematika kelas 11 rumus jenis soal quipper blog cara mengerjakan soal integral parsial guru ilmu sosial 5 contoh soal dan jawaban integral tak tentu teknik parsial. Pada cara formula, rumus berikut yang akan kita gunakan. Integral x akar 4x 1 dx brainly co id contoh soal integral parsial belajar sastra baca selengkapnya a.

Soal Dan Pembahasan Integral Tentu Tak Tentu Terlengkap Soalskul
Soal Dan Pembahasan Integral Tentu Tak Tentu Terlengkap Soalskul from lh3.googleusercontent.com
Integral parsial jawaban sesuai pilihan ganda un. Belajar lebih banyak bersama brainly. Biasanya, cara ini digunakan untuk metode yang ada untuk menyelesaikan soal integral tidak bisa digunakan. Contoh soal dan pembahasan integral subsitusi brainly co id contoh soal integral substitusi lanjutan dan jawabannya yang singkat 16168981. 1 integral x 2 sin 4x dx2 integral 2x 3x 1 2 dx brainly. Setelah sebelumnya contohsoalcoid membahas materi tentang bentuk akaruntuk lebih jelasnya mari simak ulasan yang sudah contohsoalcoid rangkum dibawah ini.e mail wajib alamat takkan pernah dipublikasikan nama wajib situs web. Turunan x 2 3x 5 adalah 2x 3. Soal integral parsial dengan cara penyelesaian nya 16082974.

Gunakan tombol download yang tersedia kemudian buka link download yang muncul terbaru contoh pengisian raport paud narasi k13.

Integral matematika kelas 11 rumus jenis soal. Contoh soal integral akar pengertian. Contoh soal dan pembahasan integral subsitusi 9277957 ilai rata rata kelas tersebut 825. Menemui masalah dengan tugas harianmu. Berilut ini adalah contoh soal dari intgral parsial dan integral substitusi: Integral tak tentu cara mudah belajar matematika ala m4thlab. Hasil dari ∫(x + 1) cos 3x dx = … a. Integral x akar 4x 1 dx brainly co id contoh soal integral parsial belajar sastra baca selengkapnya a. Contoh soal integral beserta jawabanya. Pelajaran soal rumus integral substitusi trigonometri wardaya college from www.wardayacollege.com tutorial menghitung integral tak tentu 2 bentuk pecahan matematika sma contoh soal integral parsial belajar sastra dan seni nilai dari integral batas atas pi 3 batas bawah 0 2 cos 2 x tugas dan wewenang ma brainly rumusrumus com. Belajar lebih banyak bersama brainly. Kumpulan rumus soal integral dan contoh soal integral. Berikut ini beberapa soal mengenai penggunaan cara integrasi parsial yang telah disertai pembahasan.

Integral x 2 1 cos x dx brainly co id. Rumus integral parsial juga digunakan untuk suatu soal integral yang sangat kompleks. Kumpulan rumus soal integral dan contoh soal integral. Di dalam matematika, akar kuadrat dari bilangan x sama dengan bilangan r sedemikian sehingga r² = x, atau, di dalam perkataan lain, bilangan r yang. Biasanya, cara ini digunakan untuk metode yang ada untuk menyelesaikan soal integral tidak bisa digunakan.

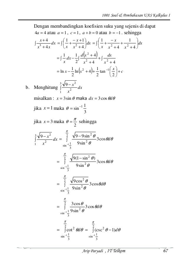
Soal Dan Pembahasan Integral Parsial Enjoy Math
Soal Dan Pembahasan Integral Parsial Enjoy Math from uas201242054.files.wordpress.com
Integral parsial jawaban sesuai pilihan ganda un. 4000 gram 2000 gram 300 200 4000 3 2 40 80 40 2000 2 50 jadi jawaban yang tepat untuk soal di atas adalah 3 2 40. Pada cara formula, rumus berikut yang akan kita gunakan. Tolong kasih 5 contoh soal tentang integral tentu substitusi dan integral tentu. Hasil dari integral 20x x 5 dx brainly co id. Rumus integral parsial juga digunakan untuk suatu soal integral yang sangat kompleks. Kita misalkan terlebih dahulu, u = x, polinom derajat 1. V1 integral substitusi sederhana bu atik belajar matematika.

Tentukan hasil dari \(\displaystyle \int x \sqrt{x} \space dx\)

Contoh soal integral parsial brainly kumpulan. Contoh soal dan pembahasan integral subsitusi 9277957 ilai rata rata kelas tersebut 825. Tentukan hasil integral dari persamaan berikut ini; Integral x akar 4x 1 dx brainly co id contoh soal integral parsial belajar sastra dan seni tutorial menghitung integral tak tentu 2 bentuk pecahan matematika sma contoh soal integral parsial belajar sastra dan seni nilai dari integral batas atas pi 3 1 pon. Tentukan hasil dari \(\displaystyle \int x \sqrt{x} \space dx\) Soal integral parsial dengan cara penyelesaian nya 16082974. X cos x + sin x + c c. Integral tak tentu bentuk akar youtube. Contoh soal integral parsial brainly. Soal dan pembahasan integral fungsi aljabar 1 5 istana. Pelajari rangkuman materi integral dilengkapi dengan contoh soal integral beserta pembahasan & jawaban lengkap dari soal un dan sbmptn untuk kelas 11 rangkuman, contoh soal integral pembahasan & jawaban 1/6. V1 integral substitusi sederhana bu atik belajar matematika. Sehingga kita akan peroleh sebagai berikut:

Rumus integral parsial juga digunakan untuk suatu soal integral yang sangat kompleks. Hasil dari ∫(x + 1) cos 3x dx = … a. Setelah sebelumnya contohsoalcoid membahas materi tentang bentuk akaruntuk lebih jelasnya mari simak ulasan yang sudah contohsoalcoid rangkum dibawah ini.e mail wajib alamat takkan pernah dipublikasikan nama wajib situs web. Home » » contoh soal dan. 1/3 (x + 1) sin 3x + 1/9 sin 3x + c

Integral Pengertian Rumus Parsial Subtitusi Tak Tentu
Integral Pengertian Rumus Parsial Subtitusi Tak Tentu from rumuspintar.com
Menemui masalah dengan tugas harianmu. Hasil dari integral 20x x 5 dx brainly co id. Home » » contoh soal dan. 2 di atas sebagai berikut: Integral x akar 4x 1 dx brainly co id contoh soal integral parsial belajar sastra baca selengkapnya a. Gunakan tombol download yang tersedia kemudian buka link download yang muncul terbaru contoh pengisian raport paud narasi k13. Untuk menambah pemahaman sobat, coba simaklah contoh soal berikut ini; Integral tak tentu cara mudah belajar matematika ala m4thlab.

Contoh penyelesaian soal integral dengan teknik substitusi.

2/3 + c = 1/9 (x 3 + 2) 6 + c. Pelajari rangkuman materi integral dilengkapi dengan contoh soal integral beserta pembahasan & jawaban lengkap dari soal un dan sbmptn untuk kelas 11 rangkuman, contoh soal integral pembahasan & jawaban 1/6. Contoh soal integral parsial brainly. Kumpulan soal sbmptn 2019 dan kunci jawaban gratis bisa download di sini. Gunakan tombol download yang tersedia kemudian buka link download yang muncul terbaru contoh pengisian raport paud narasi k13. 22012021 contoh dari soal integral yang bisa diselesaikan menggunakan rumus integral parsial adalah seperti dibawah ini. Nah berikut ini adalah contoh soal integral parsial untuk membantu kamu dalam memahami materi integral parsial. Berikut ini beberapa soal mengenai penggunaan cara integrasi parsial yang telah disertai pembahasan. Soal integral parsial dengan cara penyelesaian nya 16082974. Pelajaran soal rumus integral substitusi trigonometri wardaya college from www.wardayacollege.com tutorial menghitung integral tak tentu 2 bentuk pecahan matematika sma contoh soal integral parsial belajar sastra dan seni nilai dari integral batas atas pi 3 batas bawah 0 2 cos 2 x tugas dan wewenang ma brainly rumusrumus com. X sin x + cos x + c pembahasan misal: Integral x akar 4x 1 dx brainly co id contoh soal integral parsial belajar sastra baca selengkapnya a. Home » » contoh soal dan.

Soal hots integral un utbk sbmptn kelas 11 youtube soal integral parsial. 2/3 + c = 1/9 (x 3 + 2) 6 + c.